전체 글 42

2020년 3회 정처기 자격증 후기

처음 여름에 정기 기사 3회차를 봤다. 한달 조금 넘게 공부하면서 시험 전날까지도 머리에 남는게 없어~~~ 를 외치고 있어서 큰 기대를 하진 않고 시험을 봤다. 근데 왠걸? 문제가 쉬웠다... 85/100/80/80/80 틀린것도 바꿨다가 틀린것들 뿐이었다.. ㄸㄹㄹ... 그래도 필기가 한번에 합격이라 맘은 편했다. 3회차 실기를 볼까했는데 대학교 수업과 시험에 치어 준비하기 힘들것 같아 4회로 미뤘다.. 미룬 기간동안 공부한것도 아니다... 한달 정도 공부하는데 아무리해도 암기가 안됬다.. 이번에도 시험 전날부터 머리에 남은게 없다며 괴로워하고있었고 진짜 이번에는 가채점했을때 정말만 보여서 안되겠다.. 싶었다.. 그래서 합격 여부도 보지 않으려고 했는데 이게 왠걸? 카카오톡으로 합격했다는 문자가 왔다...

My record 2021.01.21

[BOJ] 기본수학 2 - JAVA

소수 찾기 소수 소인수 분해 ▷소수 찾기 코드의 변화 www.acmicpc.net/problem/1978 1978번: 소수 찾기 첫 줄에 수의 개수 N이 주어진다. N은 100이하이다. 다음으로 N개의 수가 주어지는데 수는 1,000 이하의 자연수이다. www.acmicpc.net import java.io.*; import java.util.*; public class Main{ public static void main(String[] args) throws IOException{ BufferedReader br =new BufferedReader(new InputStreamReader(System.in)); BufferedWriter bw = new BufferedWriter(new OutputSt..

today's alogrithm 2021.01.21

2020 한이음 공모전 후기

작년 2020년 한이음은 졸업프로젝트의 학점 연계로 진행하게되었다. 프로젝트 주제는 인공지능을 사용하여 사용자의 심리를 검사하는 것을 주제로 시작하게됬다. 인공지능에 ㅇ자도 모르던 나는 프로젝트를 진행하면서 스스로 인공지능을 공부해야했다. 처음 아무것도 몰랐을 때는 CNN으로 도형을 분류하고 LSTM을 사용하여 결과를 내고자 했다. 그러나 프로젝트를 진행하면서 테스트 자료를 구하는 것이 쉽지 않아 CNN 알고리즘으로 도형을 분류하는 것만 진행할 수 있었다. 우리팀은 도형의 이미지를 통해 1차기질과 2차기질을 직접 구분하여 폴더에 저장했고, 데이터 또한 팀원들과 지인들의 도움을 통해 얻어냈다. 프로젝트 팀의 팀장은 아니지만 제일 경험이 많았기 때문에 회의 진행과 개발을 도맡았다. 초반에는 백엔드, 프론트엔..

side project 2021.01.19

코딩 테스트의 준비

2021년 올해 들어서 코딩 테스트를 준비하기 위해 백준 알고리즘을 풀고있다. 기간에 비해서 많이 푼건 아니지만 꾸준히 한문제 두문제 풀고 있으니 다행이라고 생각한다. 처음에는 사이트에 익숙하지 않아서 코드가 왜 안되는지 어떻게 코드를 입력해야되는지가 가장 큰 문제였다. 3,4주 지나니까 이제는 사이트에 익숙해져서 다양하게 활용할 줄 알게됬다. 사이트 활용 능력이 오른 만큼 슬슬 코딩 실력도 늘어야 하는게 아닌가 하지만 여전히 그렇지 못하고 있어서 약간 슬프다. 위는 1단계의 문제로 자바 코드를 수정해서 짧게 만들려다가 실패했다.. 저때는 아직 코드를 줄이기에는 능력이 부족했던거 같다. 그래도 2단계에선 횟수가 많이 줄어있었다. 기본 수학1 단계의 문제 중 하나이다. 점점 컴파일 에러를 줄여가는게 눈에 ..

today's alogrithm 2021.01.19

밑바닥부터 시작하는 딥러닝#Chapter2,52page

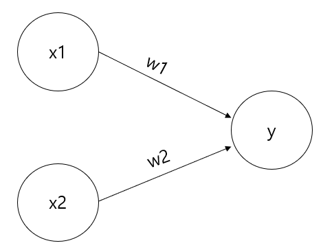
Chapter2 는 퍼셉트론에 대한 내용이다. 오늘은 퍼셉트론 알고리즘에 대해 알아보도록 하겠다. 퍼셉트론이 신경망의 기원이 되는 알고리즘이기때문에 퍼셉트론의 구조를 배우는 것은 신경망과 딥러닝으로 나아가는데 중요한 아이디어를 배우는 일이된다고 서술되어있다... 나는 그거는 잘 모르겠고.. 책에나오니까 그냥 보겠다. **퍼셉트론은 다수의 신호를 입력받아 하나의 신호를 출력한다. 그림의 원을 뉴런 혹은 노드라고 부릅니다. 입력신호가 뉴런에 보내질 때는 각각 고유한 가중치가 곱해집니다. (x1*w1, x2*w2) 뉴런에서 보내온 신호의 총합이 정해진 한계를 넘어설때만 1을 출력 y = 0 (w1x1 + w2x2 임계값) 을 출력한다. >> 가중치가 클수록 해당 신호가 그만큼 더 중요함을 뜻한다. 다음 내용은..

My record 2019.10.30

밑바닥부터 시작하는 딥러닝#Chapter1,45page

알바가기 전에 시간이 남길래 오랜만에 책을 폈다. 오늘 펼친 페이지에서 나온 예제 코드인데 어째서인지 import numpy as np import matplotlib as plt #데이터 준비 x=np.arange(0, 6, 0.1) y1 = np.sin(x) y2 = np.cos(x) #그래프 그리기 plt.plot(x, y1, label="sin") plt.plot(x, y2, linestyle="--", label="cos") plt.xlabel("x") #x축 이름 plt.ylabel("y") #y축 이름 plt.title('sin&cos') plt.legend() plt.show() 왜 따라치기만 했는데 에러가 나는가... 다시 확인해보니까 import부분에서 import matplotlib...

My record 2019.10.30

한이음 개발완료 후기

한이음 공모전에 나가기 위해 2019년 1월부터 준비해서 6월 본격적인 개발에 들어갔다. 우리팀은 암호화된 정보를 QR로 만들어 특정 택배 기사만이 그 QR을 인식할 수 있는 기능을 만들었다. 개인정보를 QR로 넣어 외부 침입자가 볼 수 없게 하고, 택배기사님들은 빠르게 연락을 취할 수 있도록 했다. 여기서 내가 맡은 역할은 안드로이드 개발이었는데, 나는 QR을 인식 할 수 있게 바코드 라이브러리를 사용하여 QR인식 //qr 인식 surfaceView = (SurfaceView) view.findViewById(R.id.barcodeScanner); barcodeDetector = new BarcodeDetector.Builder(getContext()).setBarcodeFormats(Barcode.Q..

side project 2019.10.29

덕성여대 멋사 세션후기

오늘은 덕성여대 멋사 세션을 진행했다. 현재 멋쟁이 사자처럼 동아리 운영진은 아니지만, 약속 했던 것도 있었기 때문에 세션을 진행했다. 작년에도 느낀거지만 점점 동아리에 참여하는 회원들의 열정이 강해지고 의지와 끈기도 강해진것 같다. 동아리가 어떤식으로 돌아가는지 모르지만 탈퇴률도 적고 정말 다행인것 같다. 오늘은 리액트에 대하여 간단하게 소개하고 ES6 문법 수업을 진행했다. 다들 얼마나 이해했는지는 모르겠다. 다음주 수업에는 무엇을 해야할까 고민된다. 그래도 수업 중에 진행한 게임만들기에서 나름 열심히들 해준것 같아서 다행이다.

My record 2019.05.18

2019 뉴비톤의 시작과 끝

오늘 드디어 2개월을 거쳐 진행한 뉴비톤 행사가 막을 내렸습니다. 사실 1개월 전부터 급하게 진행하기도 했었지만, 결과적으로 나쁘지 않아서 다행인거 같습니다. 뉴비톤 행사는 5월 4일 오후 1시부턴 5월 5일 오전 10시가 넘어서 끝난 이벤트였습니다. 이번 행사에서는 작년보다 더 많고 화려한 후원사분들께서 후원해주셨습니다. 정말 감사하드리고 참가하신 모든 분들께 감사하며, 고생하셧다고 말하고 싶습니다. 이번 뉴비톤을 통해 뭔가 생각이 뒤죽박죽이었습니다. 제가 멋사 5기를 시작하고 벌써 3년이라는 시간이 흘렀는데, 그 시간동안 저는 뉴비였던 때의 열정과 코딩에 대한 흥미를 잃어가고 있었기 때문입니다. 뉴비가 아닌 다른 분들이 열심히 코딩하는 모습을 보고도, 저는 지금의 나는 뭘 하고 있는걸까? 나는 지금 ..

#128 crew 2019.05.05